Skip to main content
Class of 2025
Major:
Mathematics
Minor:
Asian Studies
Chemistry
As an undergraduate mathematics major, I’m passionate about creative problem-solving and devising applications to improve the modern world. Namely, I am interested in mathematical applications to the sciences, which motivated me to pursue a summer research experience in organic chemistry under the mentorship of Dr. Tartakoff. Using my skill set...
Advisor
Semester:
Summer 2024
Description

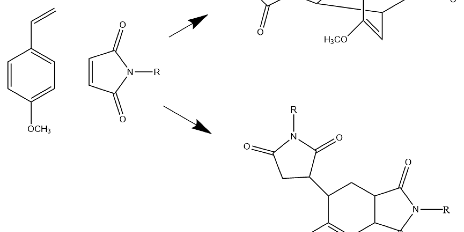
First discovered in 1930, the Wagner-Jauregg reaction consists of a Diels-Alder addition that can lead to either polymer formation or proceed through one of two possible pericyclic pathways. Specifically, it may undergo an additional Diels-Alder reaction, forming the Double-Diels-Alder product (DDA), or an ene-reaction, forming the ene-product (ene). This research investigates if solvent type plays a significant role in influencing one product over the other. It also explores a potential synthesis that removes the second dienophile equivalent, aiming to produce a structure resembling the first Diels-Alder addition. Such structure shows promise as a morphine analog and could serve as the basis for a new synthesis.

Share: