Skip to main content
Class of 2026
Major:
Biochemistry
Minor:
Statistics
Hi, I’m Kaitlyn Barton, Class of 2026. I’m a Biochemistry major and Statistics minor and interested in applying to medical school post-graduation. Because of my interest in medicine, I was drawn to organic chemistry research, especially related to synthetic and medicinal chemistry. I started working with Dr. Tartakoff, on my...
Semester:
Summer 2025
Description

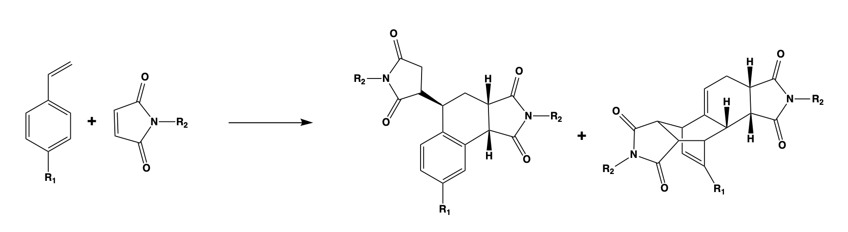
As a summer ‘25 SLU Research Fellow, I worked on further developing the Wagner-Jauregg reaction. This reaction produces two major products - the double Diels-Alder (DDA) and Ene products. These products have molecular structures similar to existing pharmaceuticals (such as morphine) but have never been studied before and may lead us to potential new treatments with reduced side-effects. 

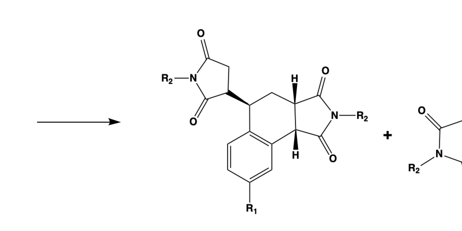
In the first part of my project, we studied how various solvents effect the DDA and Ene ratios and improved the efficiency of the reaction. We then switched to the isolation and characterization of the DDA and Ene products using different styrenes, which allowed us to better understand how electronic factors impact reactivity and limitations for the reaction.  

Share: